Construction and working of Magnetostriction Generator
Construction
The Experiment arrangement in shown in Fig.
XY is a rod of ferromagnetic materials like iron or nickel. The rod is clamped in the middle.The alternating magnetic field is generated by electronic oscillator.
The coil L wound on the right-hand portion of the rod along with a variable capacitor C.
This forms the resonant circuit of the collector tuned oscillator. The frequency of oscillator is controlled by the variable capacitor.
The coil L2 wound on the left-hand portion of the rod is connected to the base circuit. The coil L2 acts as feed-back loop.
Working
When High Tension (H.T) battery is switched on,
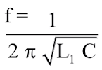
the collector circuit oscillates with a frequency,
The frequency of vibration of the rod is given by
where,
l = length of the rod, Y = Young's modulus of the rod material
and
p =density of rod material is given
Now the rod vibrates longitudinally with maximum amplitude and generates ultrasonic waves of high frequency from its ends.

.png)
.png)
Comments
Post a Comment